|
産品名稱 |
分(fen)子式 |
CAS |
結構式 |
|
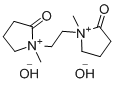
1,2-二(èr)(N-甲基吡咯烷酮(tong))乙基氫氧化铵(ǎn) |
C13 H24 Br2 N2 O2 |
|
|
在線留言
全國服務熱(rè)線:
公(gong)司:廣州大有精(jīng)細化工廠
地址:廣州(zhōu)市天河區珠江(jiang)新城花城大道(dào)85号高德置地春(chūn)廣場🏒A座3206B
電話: 020-38372756
業務咨詢:
13902251328
(王(wáng)女士)
傳真:020-38372797
郵箱(xiang): [email protected]
Copyright© 2022 廣州大有精細(xi)化工廠 版權所(suǒ)有 京ICP證000000号 網站(zhàn)建設:中企動力(lì) 廣州 SEO标簽
·
••